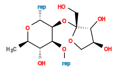
Atomic structure
There is only one chemically distinct structure:
SVG
MW
SMILES
3D mol
Ionize
*O[C@H]1[C@H](O)[C@@H](C)O[C@H](*)[C@H]1O[C@@]1(CO)OC[C@H](O)[C@H]1O
278.257 g/mol (C
11
H
18
R
2
O
8
, R = next and previous repeats, not counted in mol weight)