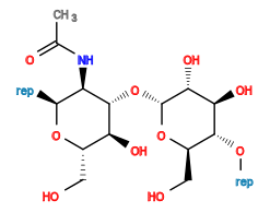
Atomic structure
There is only one chemically distinct structure:
SVG
MW
SMILES
3D mol
Ionize
*O[C@@H]1[C@@H](CO)O[C@H](O[C@@H]2[C@@H](O)[C@H](CO)O[C@@H](*)[C@H]2NC(C)=O)[C@H](O)[C@H]1O
365.335 g/mol (C
14
H
23
R
2
NO
10
, R = next and previous repeats, not counted in mol weight)