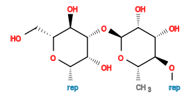
Atomic structure
There is only one chemically distinct structure:
SVG
MW
SMILES
3D mol
Ionize
[*]O[C@H]1[C@H](C)O[C@@H](O[C@@H]2[C@H](O)[C@H]([*])O[C@H](CO)[C@H]2O)[C@H](O)[C@@H]1O
308.283 g/mol (C
12
H
20
R
2
O
9
, R = next and previous repeats, not counted in mol weight)