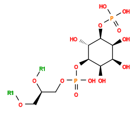
Atomic structure
There is only one chemically distinct structure:
SVG
MW
SMILES
3D mol
Ionize
R1
= LIP
[1*]OC[C@H](COP(=O)(O)O[C@H]1[C@H](O)[C@@H](OP(=O)(O)O)[C@@H](O)[C@@H](O)[C@H]1O)O[1*]
412.177 g/mol (C
9
H
18
R
2
O
14
P
2
, R = residue superclass(es), not counted in mol weight)