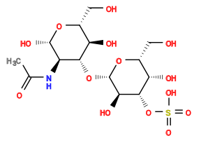
Atomic structure
There is only one chemically distinct structure:
SVG
MW
SMILES
3D mol
Ionize
CC(=O)N[C@H]1[C@H](O)O[C@H](CO)[C@@H](O)[C@@H]1O[C@@H]1O[C@H](CO)[C@H](O)[C@H](OS(=O)(=O)O)[C@H]1O
463.414 g/mol (C
14
H
25
NO
14
S)