Atomic structure
There is only one chemically distinct structure:
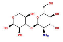
SVG
MW
SMILES
3D mol
Ionize
N[C@H]1[C@@H](O[C@H]2[C@H](O)CO[C@H](O)[C@@H]2O)O[C@H](CO)[C@@H](O)[C@@H]1O
311.287 g/mol (C
11
H
21
NO
9
)