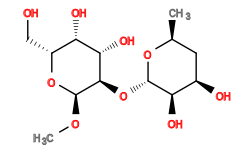
Atomic structure
There is only one chemically distinct structure:
SVG
MW
SMILES
3D mol
Ionize
CO[C@H]1O[C@H](CO)[C@H](O)[C@H](O)[C@H]1O[C@@H]1O[C@@H](C)C[C@@H](O)[C@H]1O
324.326 g/mol (C
13
H
24
O
9
)