Atomic structure
There is only one chemically distinct structure:
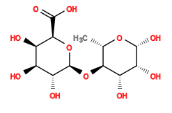
SVG
MW
SMILES
3D mol
Ionize
C[C@@H]1O[C@H](O)[C@H](O)[C@H](O)[C@H]1O[C@@H]1O[C@H](C(=O)O)[C@H](O)[C@H](O)[C@H]1O
340.281 g/mol (C
12
H
20
O
11
)