Atomic structure
There is only one chemically distinct structure:
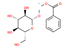
SVG
MW
SMILES
3D mol
Ionize
R1
= adoxosidic acid aglycon1_10
O=C(O[1*]O[C@@H]1O[C@H](CO)[C@@H](O)[C@H](O)[C@H]1O)c1ccccc1
300.263 g/mol (C
13
H
16
RO
8
, R = underdetermined substituent(s), not counted in mol weight)