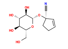
Atomic structure
There is only one chemically distinct structure:
SVG
MW
SMILES
3D mol
Ionize
N#C[C@]1(O[C@@H]2O[C@H](CO)[C@@H](O)[C@H](O)[C@H]2O)C=CCC1
271.269 g/mol (C
12
H
17
NO
6
)