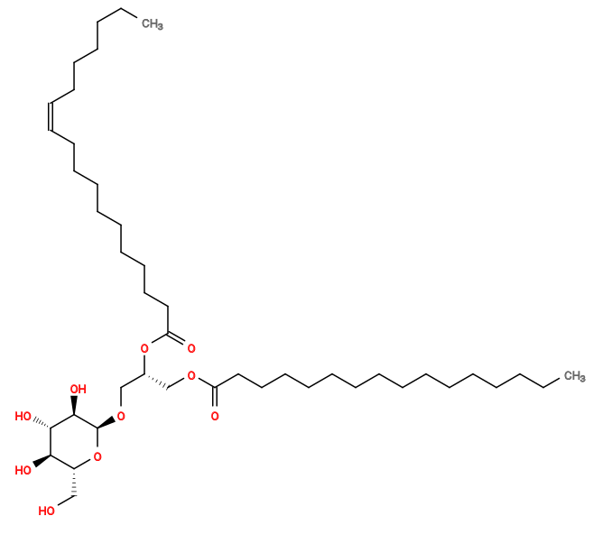
Atomic structure
There is only one chemically distinct structure:
SVG
MW
SMILES
3D mol
Ionize
CCCCCC/C=C\CCCCCCCCCC(=O)O[C@H](COC(=O)CCCCCCCCCCCCCCC)CO[C@H]1O[C@H](CO)[C@@H](O)[C@H](O)[C@H]1O
757.103 g/mol (C
43
H
80
O
10
)