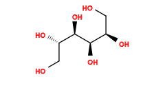
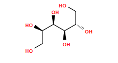
Atomic structure
There is only one chemically distinct structure:
SVG
MW
SMILES
3D mol
Ionize
OC[C@@H](O)[C@@H](O)[C@H](O)[C@@H](O)CO
182.172 g/mol (C
6
H
14
O
6
)