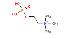
Atomic structure
There is only one chemically distinct structure:
SVG
MW
SMILES
3D mol
Ionize
C[N+](C)(C)CCOP(=O)(O)O
184.152 g/mol (C
5
H
15
NO
4
P
+
)