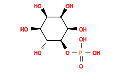
Atomic structure
There is only one chemically distinct structure:
SVG
MW
SMILES
3D mol
Ionize
O=P(O)(O)O[C@H]1[C@H](O)[C@@H](O)[C@@H](O)[C@@H](O)[C@H]1O
260.135 g/mol (C
6
H
13
O
9
P)