Taxonomic group: bacteria / Firmicutes
(Phylum: Firmicutes)
The structure was elucidated in this paperNCBI PubMed ID: 37042660Publication DOI: 10.7554/eLife.84669Journal NLM ID: 101579614Publisher: Cambridge, UK : eLife Sciences Publications, Ltd.
Correspondence: M.P. Chapot-Chartier <marie-pierre.chapot-chartier

inrae.fr>; C. Grangeasse <christophe.grangeasse

ibcp.fr>; F. Leulier <francois.leulier

ens-lyon.fr>
Institutions: Univ. Lille, CNRS, UMR 8576 - UGSF - Unité de Glycobiologie Structurale et Fonctionnelle, Lille, France, Université Paris-Saclay, INRAE, AgroParisTech, Micalis Institute, Jouy-en-Josas, France, Institute for Glyco-Core Research (iGCORE), Gifu University, Gifu, Japan, Molecular Microbiology and Structural Biochemistry, CNRS UMR 5086, Université Claude Bernard Lyon 1, Lyon, France, Institut de Génomique Fonctionnelle de Lyon, Ecole Normale Supérieure de Lyon, CNRS UMR 5242, Université Claude Bernard Lyon 1, Lyon, France, Protein Science Facility, CNRS UAR3444, INSERM US8, Université Claude Bernard Lyon 1, Ecole Normale Supérieur de Lyon, Lyon, France
Metazoans establish mutually beneficial interactions with their resident microorganisms. However, our understanding of the microbial cues contributing to host physiology remains elusive. Previously, we identified a bacterial machinery encoded by the dlt operon involved in Drosophila melanogaster's juvenile growth promotion by Lactiplantibacillus plantarum. Here, using crystallography combined with biochemical and cellular approaches, we investigate the physiological role of an uncharacterized protein (DltE) encoded by this operon. We show that lipoteichoic acids (LTAs) but not wall teichoic acids are D-alanylated in Lactiplantibacillus plantarumNC8 cell envelope and demonstrate that DltE is a D-Ala carboxyesterase removing D-Ala from LTA. Using the mutualistic association of L. plantarumNC8 and Drosophila melanogaster as a symbiosis model, we establish that D-alanylated LTAs (D-Ala-LTAs) are direct cues supporting intestinal peptidase expression and juvenile growth in Drosophila. Our results pave the way to probing the contribution of D-Ala-LTAs to host physiology in other symbiotic models.
microbiology, infectious disease, cell wall, symbiosis, D. melanogaster, Lactiplantibacillus plantarum, lipoteichoic acids
Structure type: polymer chemical repeating unit
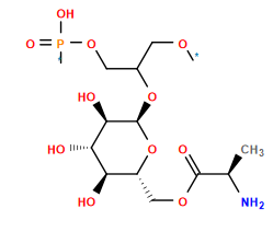
Location inside paper: Fig. 3b(D), table S2
Compound class: lipoteichoic acid, LTA
Contained glycoepitopes: IEDB_130695,IEDB_142488,IEDB_144998,IEDB_146664,IEDB_1597446,IEDB_983931,SB_192
Methods: 13C NMR, 1H NMR, Western blotting, MS/MS, composition analysis, genetic methods, biochemical methods, enzyme assay, HPAEC-PAD, crystallization, UHPLC, protein expression, RT-qPCR
Comments, role: NMR temperature was not specified
3D data: 3D data
NCBI Taxonomy refs (TaxIDs): 1590
Show glycosyltransferases
NMR conditions: in D2O
[as TSV]
13C NMR data:
Linkage Residue C1 C2 C3 C4 C5 C6
0,2,6 xDAla? 172.5 49.9 16.36
0,2 aDGlcp 98.9 72.6 74.0 70.8 70.9 66.2
0 x?Gro 66.0 76.4 66.0
P
1H NMR data:
Linkage Residue H1 H2 H3 H4 H5 H6
0,2,6 xDAla? - 4.29 1.63
0,2 aDGlcp 5.19 3.55 3.77 3.42 4.18 4.45-4.63
0 x?Gro 4.02 4.13 4.02
P
1H/13C HSQC data:
Linkage Residue C1/H1 C2/H2 C3/H3 C4/H4 C5/H5 C6/H6
0,2,6 xDAla? 49.9/4.29 16.36/1.63
0,2 aDGlcp 98.9/5.19 72.6/3.55 74.0/3.77 70.8/3.42 70.9/4.18 66.2/4.45-4.63
0 x?Gro 66.0/4.02 76.4/4.13 66.0/4.02
P
1H NMR data:
| Linkage | Residue | H1 | H2 | H3 | H4 | H5 | H6 |
| 0,2,6 | xDAla? |
| 4.29 | 1.63 | |
| 0,2 | aDGlcp | 5.19 | 3.55 | 3.77 | 3.42 | 4.18 | 4.45 4.63 |
| 0 | x?Gro | 4.02 | 4.13 | 4.02 | |
| | P | |
|
13C NMR data:
| Linkage | Residue | C1 | C2 | C3 | C4 | C5 | C6 |
| 0,2,6 | xDAla? | 172.5 | 49.9 | 16.36 | |
| 0,2 | aDGlcp | 98.9 | 72.6 | 74.0 | 70.8 | 70.9 | 66.2 |
| 0 | x?Gro | 66.0 | 76.4 | 66.0 | |
| | P | |
|
There is only one chemically distinct structure: