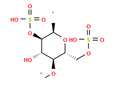
Atomic structure
There is only one chemically distinct structure:
SVG
MW
SMILES
3D mol
Ionize
*O[C@H]1[C@H](O)[C@@H](OS(=O)(=O)O)[C@@H](*)O[C@@H]1COS(=O)(=O)O
322.269 g/mol (C
6
H
10
R
2
O
11
S
2
, R = next and previous repeats, not counted in mol weight)