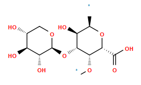
Atomic structure
There is only one chemically distinct structure:
SVG
MW
SMILES
3D mol
Ionize
*O[C@@H]1[C@H](O[C@@H]2OC[C@@H](O)[C@H](O)[C@H]2O)[C@@H](O)[C@@H](*)O[C@@H]1C(=O)O
308.239 g/mol (C
11
H
16
R
2
O
10
, R = next and previous repeats, not counted in mol weight)