Atomic structure
There is only one chemically distinct structure:
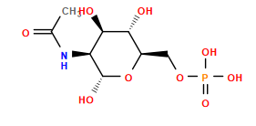
SVG
MW
SMILES
3D mol
Ionize
CC(=O)N[C@H]1[C@@H](O)[C@H](O)[C@@H](COP(=O)(O)O)O[C@@H]1O
301.188 g/mol (C
8
H
16
NO
9
P)