Atomic structure
There is only one chemically distinct structure:
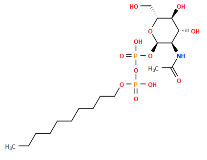
SVG
MW
SMILES
3D mol
Ionize
CCCCCCCCCCOP(=O)(O)OP(=O)(O)O[C@H]1O[C@H](CO)[C@@H](O)[C@H](O)[C@H]1NC(C)=O
521.437 g/mol (C
18
H
37
NO
12
P
2
)