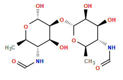
Atomic structure
There is only one chemically distinct structure:
SVG
MW
SMILES
3D mol
Ionize
C[C@H]1O[C@H](O[C@H]2[C@@H](O)[C@H](NC=O)[C@@H](C)O[C@@H]2O)[C@@H](O)[C@@H](O)[C@@H]1NC=O
364.351 g/mol (C
14
H
24
N
2
O
9
)