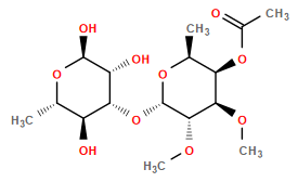
Atomic structure
There is only one chemically distinct structure:
SVG
MW
SMILES
3D mol
Ionize
CO[C@H]1[C@H](OC)[C@H](O[C@@H]2[C@@H](O)[C@H](C)O[C@@H](O)[C@@H]2O)O[C@@H](C)[C@H]1OC(C)=O
380.39 g/mol (C
16
H
28
O
10
)