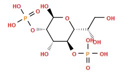
Atomic structure
There is only one chemically distinct structure:
SVG
MW
SMILES
3D mol
Ionize
O=P(O)(O)O[C@H]1[C@H](O)[C@H](OP(=O)(O)O)[C@@H](O)O[C@@H]1[C@@H](O)CO
370.14 g/mol (C
7
H
16
O
13
P
2
)