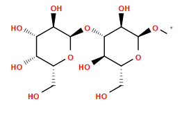
Atomic structure
There is only one chemically distinct structure:
SVG
MW
SMILES
3D mol
Ionize
R1
= inner core
[1*]O[C@H]1O[C@H](CO)[C@@H](O)[C@H](O[C@H]2O[C@H](CO)[C@H](O)[C@H](O)[C@H]2O)[C@H]1O
341.289 g/mol (C
12
H
21
RO
11
, R = underdetermined substituent(s), not counted in mol weight)