Atomic structure
There is only one chemically distinct structure:
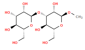
SVG
MW
SMILES
3D mol
Ionize
CO[C@H]1O[C@H](CO)[C@@H](O)[C@H](O[C@H]2O[C@H](CO)[C@@H](O)[C@H](O)[C@@H]2O)[C@@H]1O
356.324 g/mol (C
13
H
24
O
11
)