Atomic structure
There is only one chemically distinct structure:
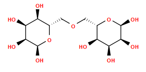
SVG
MW
SMILES
3D mol
Ionize
O[C@H]1[C@@H](O)[C@H](COC[C@@H]2O[C@@H](O)[C@@H](O)[C@@H](O)[C@H]2O)O[C@@H](O)[C@H]1O
342.297 g/mol (C
12
H
22
O
11
)