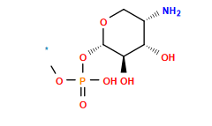
Atomic structure
There is only one chemically distinct structure:
SVG
MW
SMILES
3D mol
Ionize
R1
= undecaprenol
[1*]OP(=O)(O)O[C@@H]1OC[C@H](N)[C@H](O)[C@H]1O
228.117 g/mol (C
5
H
11
RNO
7
P, R = underdetermined substituent(s), not counted in mol weight)