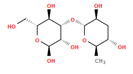
Atomic structure
There is only one chemically distinct structure:
SVG
MW
SMILES
3D mol
Ionize
C[C@H]1O[C@H](O[C@@H]2[C@H](O)[C@@H](O)O[C@H](CO)[C@H]2O)[C@@H](O)C[C@@H]1O
310.299 g/mol (C
12
H
22
O
9
)