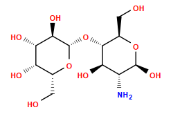
Atomic structure
There is only one chemically distinct structure:
SVG
MW
SMILES
3D mol
Ionize
N[C@@H]1[C@@H](O)[C@H](O[C@@H]2O[C@H](CO)[C@H](O)[C@H](O)[C@H]2O)[C@@H](CO)O[C@H]1O
341.313 g/mol (C
12
H
23
NO
10
)