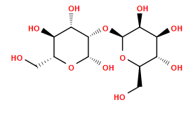
Atomic structure
There is only one chemically distinct structure:
SVG
MW
SMILES
3D mol
Ionize
OC[C@H]1O[C@@H](O[C@H]2[C@@H](O)[C@H](O)[C@@H](CO)O[C@H]2O)[C@@H](O)[C@@H](O)[C@@H]1O
342.297 g/mol (C
12
H
22
O
11
)