Atomic structure
There is only one chemically distinct structure:
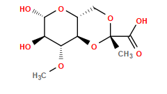
SVG
MW
SMILES
3D mol
Ionize
CO[C@@H]1[C@@H](O)[C@H](O)O[C@@H]2CO[C@](C)(C(=O)O)O[C@@H]12
264.23 g/mol (C
10
H
16
O
8
)