Monomer (building block) information

Main representations

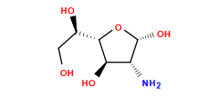
 Input: aDGalfN

SweetDB: a-D-GalfN

 SNFG:

Atomic structure
There is only one chemically distinct structure:
Carrier residue details
Residue Size Type Abundance Structures WURCSStereocode & Atoms    Description
GalN hex ald 3345 2526 ?2112h_2*NProtonation: 111112 2-amino-2-deoxygalactose
a-D-GalpN
b-D-GalpN
?-D-GalpN
D-GalaN
?-D-Gal?N
b-D-GalfN
b-?-GalpN
a-D-Gal?N
?-?-Gal?N
a-?-GalpN
b-D-Gal?N
a-D-GalfN
L-GalaN
?-?-GalpN
b-?-Gal?N
1633
1492
68
57
29
20
15
7
6
6
5
3
2
1
1
1419
1284
60
57
29
20
15
7
5
3
5
3
2
1
1
[CH2](O)[C@@H](O1)[C@H](O)[C@H](O)[C@@H](N)[C@@H](O)1221120onoodo
[CH2](O)[C@@H](O1)[C@H](O)[C@H](O)[C@@H](N)[C@H](O)1121120onoodo
[CH2](O)[C@@H](O1)[C@H](O)[C@H](O)[C@@H](N)[CH](O)1x21120onoodo
[CH2](O)[C@@H](O)[C@H](O)[C@H](O)[C@@H](N)[CH]=O021120Anoooo
3 variants possible; use an icon →x21120?no??o
[CH2](O)[C@@H](O)[C@H](O1)[C@H](O)[C@@H](N)[C@H](O)1121120onodoo
2 variants possible; use an icon →343340onoodo
2 variants possible; use an icon →221120?no??o
6 variants possible; use an icon →x43340?no??o
2 variants possible; use an icon →443340onoodo
2 variants possible; use an icon →121120?no??o
[CH2](O)[C@@H](O)[C@H](O1)[C@H](O)[C@@H](N)[C@@H](O)1221120onodoo
[CH2](O)[C@H](O)[C@@H](O)[C@@H](O)[C@H](N)[CH]=O012210Anoooo
2 variants possible; use an icon →x43340onoodo
4 variants possible; use an icon →343340?no??o
Structures and taxa
  • Display 2396 compounds containing GalN (carrier residue): part 0, part 1, part 2
  • Display 44 compounds that can contain a-D-GalfN (specified building block): click here
  • Display 2 compounds explicitly containing a-D-GalfN (specified building block): click here
  • Distribution of compounds explicitly containing a-D-GalfN synthesized in major taxonomic groups, except animals:
    Kingdom: Phylum Compounds with a-D-GalfN
    bacteria: Proteobacteria
    .2 (100.0%)

  • Query another monomer:   
    Please provide a structure in CSDB linear encoding. See structure encoding for details.
    Home