Monomer (building block) information

Main representations

 Input: xDGal-ol

SweetDB: D-Gal-ol

 SNFG:

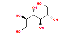
Atomic structure
There is only one chemically distinct structure:
Carrier residue details
Residue Size Type Abundance Structures WURCSStereocode & Atoms    Description
Gal-ol hex ol 100 100 h2112hProtonation: 211112 galactitol
D-Gal-ol
?-Gal-ol
87
13
87
13
[CH2](O)[C@@H](O)[C@H](O)[C@H](O)[C@@H](O)[CH2](O)021120oooooo
2 variants possible; use an icon →043340oooooo
Structures and taxa
  • Display 100 compounds containing Gal-ol (carrier residue): click here
  • Display 100 compounds that can contain D-Gal-ol (specified building block): click here
  • Display 87 compounds explicitly containing D-Gal-ol (specified building block): click here
  • Distribution of compounds explicitly containing D-Gal-ol synthesized in major taxonomic groups, except animals:
    Kingdom: Phylum Compounds with D-Gal-ol
    bacteria: Firmicutes
    .31 (35.6%)
    bacteria: Proteobacteria
    .30 (34.5%)
    fungi: Ascomycota
    .15 (17.2%)
    bacteria: Bacteroidetes
    .6 (6.9%)
    fungi: Basidiomycota
    .3 (3.4%)
    plant: Streptophyta
    .2 (2.3%)
    bacteria: Actinobacteria
    .1 (1.1%)
    archaea: Euryarchaeota
    .1 (1.1%)

  • Query another monomer:   
    Please provide a structure in CSDB linear encoding. See structure encoding for details.
    Home