Monomer (building block) information

Main representations

 Input: xDGlc-ol

SweetDB: D-Glc-ol

 SNFG:

Atomic structure
There is only one chemically distinct structure:
Carrier residue details
Residue Size Type Abundance Structures WURCSStereocode & Atoms    Description
Glc-ol hex ol 155 154 h2122hProtonation: 211112 glucitol
D-Glc-ol
?-Glc-ol
142
13
141
13
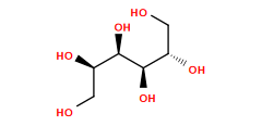
[CH2](O)[C@@H](O)[C@@H](O)[C@H](O)[C@@H](O)[CH2](O)021220oooooo
2 variants possible; use an icon →043440oooooo
Structures and taxa
  • Display 154 compounds containing Glc-ol (carrier residue): click here
  • Display 154 compounds that can contain D-Glc-ol (specified building block): click here
  • Display 141 compounds explicitly containing D-Glc-ol (specified building block): click here
  • Distribution of compounds explicitly containing D-Glc-ol synthesized in major taxonomic groups, except animals:
    Kingdom: Phylum Compounds with D-Glc-ol
    plant: Streptophyta
    .80 (56.7%)
    bacteria: Firmicutes
    .29 (20.6%)
    bacteria: Proteobacteria
    .13 (9.2%)
    bacteria: Fibrobacteres
    .8 (5.7%)
    fungi: Ascomycota
    .7 (5.0%)
    bacteria: Actinobacteria
    .3 (2.1%)
    protista: Oomycota
    .2 (1.4%)

  • Query another monomer:   
    Please provide a structure in CSDB linear encoding. See structure encoding for details.
    Home