Taxonomic group: bacteria / Firmicutes
(Phylum: Firmicutes)
Host organism: Homo sapiens
Associated disease: nosocomial infections [ICD11:
XB25 
];
infection due to Enterococcus faecium [ICD11:
XN51E 
]
The structure was elucidated in this paperNCBI PubMed ID: 26109072Publication DOI: 10.1074/jbc.M115.655852Journal NLM ID: 2985121RPublisher: Baltimore, MD: American Society for Biochemistry and Molecular Biology
Correspondence: robert.donald

pfizer.com
Institutions: the National Research Council, Ottawa, Ontario K1A 0R6, Canada, the Division of Infectious Diseases, Department of Medicine, University Hospital, Hugstetter Strasse 55, 79106 Freiburg, Germany, and the Department of Pediatrics, Dr. von Hauner Children's Hospital, Ludwig-Maximilians-University, Lindwurmstrasse 4, 80338 Munich, Germany, From Pfizer Vaccine Research and Early Development, Pearl River, New York 10654
The incidence of multidrug-resistant Enterococcus faecium hospital infections has been steadily increasing. With the goal of discovering new vaccine antigens, we systematically fractionated and purified four distinct surface carbohydrates from E. faecium endocarditis isolate Tx16, shown previously to be resistant to phagocytosis in the presence of human serum. The two most abundant polysaccharides consist of novel branched heteroglycan repeating units that include signature sugars altruronic acid and legionaminic acid, respectively. A minor high molecular weight polysaccharide component was recognized as the fructose homopolymer levan, and a glucosylated lipoteichoic acid (LTA) was identified in a micellar fraction. The polysaccharides were conjugated to the CRM197 carrier protein, and the resulting glycoconjugates were used to immunize rabbits. Rabbit immune sera were evaluated for their ability to kill Tx16 in opsonophagocytic assays and in a mouse passive protection infection model. Although antibodies raised against levan failed to mediate opsonophagocytic killing, the other glycoconjugates induced effective opsonic antibodies, with the altruronic acid-containing polysaccharide antisera showing the greatest opsonophagocytic assay activity. Antibodies directed against either novel heteroglycan or the LTA reduced bacterial load in mouse liver or kidney tissue. To assess antigen prevalence, we screened a diverse collection of blood isolates (n = 101) with antibodies to the polysaccharides. LTA was detected on the surface of 80% of the strains, and antigens recognized by antibodies to the two major heteroglycans were co-expressed on 63% of these clinical isolates. Collectively, these results represent the first steps toward identifying components of a glycoconjugate vaccine to prevent E. faecium infection.
antigen, teichoic acid, vaccine, uronic acids, carbohydrate structure, glycoconjugate vaccine, Enterococcus faecium, sialic acids
Structure type: oligomer
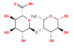
Location inside paper: p.19518, fig.3, Pf2 (OS1)
Compound class: EPS
Contained glycoepitopes: IEDB_142489,IEDB_144562,IEDB_152214,SB_86
Methods: 13C NMR, 1H NMR, methylation, NMR-2D, partial acid hydrolysis, GC-MS, SDS-PAGE, sugar analysis, ELISA, ESI-MS, GC, biological assays, serological methods, UV, HPAEC-PAD, bioinformatic analysis, SEC, conjugatation, SEC-MALLS
Comments, role: Enterococcus faecium endocarditis isolate Tx16; partial acid hydrolysis of the Pf2 polysaccharide to yield an acidic disaccharide OS1, where α:β ~ 1:2.
Related record ID(s): 30718, 30959, 30960, 30962, 30963, 30964, 30965, 30966, 30967
NCBI Taxonomy refs (TaxIDs): 1352Reference(s) to other database(s): GTC:G05387KP
Show glycosyltransferases
NMR conditions: in D2O at 305 K
[as TSV]
13C NMR data:
Linkage Residue C1 C2 C3 C4 C5 C6
4 aLAltpA 102.3 71.5 71.1 70.6 77.8 ?
bLFucp 97.2 73.2 73.1 80.1 71.9 16.7
1H NMR data:
Linkage Residue H1 H2 H3 H4 H5 H6
4 aLAltpA 4.79 3.73 3.66 4.36 4.50 -
bLFucp 4.62 3.46 3.67 4.02 3.89 1.32
1H/13C HSQC data:
Linkage Residue C1/H1 C2/H2 C3/H3 C4/H4 C5/H5 C6/H6
4 aLAltpA 102.3/4.79 71.5/3.73 71.1/3.66 70.6/4.36 77.8/4.50
bLFucp 97.2/4.62 73.2/3.46 73.1/3.67 80.1/4.02 71.9/3.89 16.7/1.32
1H NMR data:
| Linkage | Residue | H1 | H2 | H3 | H4 | H5 | H6 |
| 4 | aLAltpA | 4.79 | 3.73 | 3.66 | 4.36 | 4.50 |
|
| | bLFucp | 4.62 | 3.46 | 3.67 | 4.02 | 3.89 | 1.32 |
|
13C NMR data:
| Linkage | Residue | C1 | C2 | C3 | C4 | C5 | C6 |
| 4 | aLAltpA | 102.3 | 71.5 | 71.1 | 70.6 | 77.8 | ? |
| | bLFucp | 97.2 | 73.2 | 73.1 | 80.1 | 71.9 | 16.7 |
|
 The spectrum also has 1 signal at unknown position (not plotted). |
There is only one chemically distinct structure: