Taxonomic group: fungi / Ascomycota
(Phylum: Ascomycota)
The structure was elucidated in this paperNCBI PubMed ID: 21098516Publication DOI: 10.1093/glycob/cwq167Journal NLM ID: 9104124Publisher: IRL Press at Oxford University Press
Correspondence: Takegawa K <takegawa

agr.kyushu-u.ac.jp>
Institutions: ASPEX Division, Research Center, Asahi Glass Co., Ltd., Yokohama, Japan, Department of Bioscience and Biotechnology, Faculty of Agriculture, Kyushu University, Fukuoka, Japan, Division of Functional Glycomics, Life Science Research Center, Institute of Research Promotion, Kagawa University, Kagawa, Japan, Division of Glyco-Bioindustry, Life Science Research Center, Institute of Research Promotion, Kagawa University, Kagawa, Japan, Department of Applied Genetics and Pest Management, Faculty of Agriculture, Kyushu University, Fukuoka, Japan, Department of Applied Biological Sciences, Faculty of Agriculture, Kagawa University, Kagawa, Japan
In the fission yeast Schizosaccharomyces pombe, galactose (Gal) residues are transferred to N- and O-linked oligosaccharides of glycoproteins by galactosyltransferases in the lumen of the Golgi apparatus. In S. pombe, the major in vitro α1,2-galactosyltransferase activity has been purified, the gma12(+) gene has been cloned, and three α-galactosyltransferase genes (gmh1(+)-gmh3(+)) have also been partially characterized. In this study, we found three additional uncharacterized genes with homology to gmh1(+) (gmh4(+)-gmh6(+)) in the fission yeast genome sequence. All possible single disruption mutants and the septuple disruption strain were constructed and characterized. The electrophoretic mobility of acid phosphatase prepared from gma12Δ, gmh2Δ, gmh3Δ and gmh6Δ mutants was higher than that from wild type, indicating that Gma12p, Gmh2p, Gmh3p and Gmh6p are required for the galactosylation of N-linked oligosaccharides. High-performance liquid chromatography (HPLC) analysis of pyridylaminated O-linked oligosaccharides from each single mutant showed that Gma12p, Gmh2p and Gmh6p are involved in galactosylation of O-linked oligosaccharides. The septuple mutant exhibited similar drug and temperature sensitivity as a gms1Δ mutant that is incapable of galactosylation. Oligosaccharide structural analysis based on HPLC and methylation analysis revealed that the septuple mutant still contained oligosaccharides consisting of α1,3-linked Gal residues, indicating that an unknown α1,3-galactosyltransferase activity was still present in the septuple mutant.
methylation analysis, glycosylation, glycoengineering, Schizosaccharomyces pombe, α-galactosyltransferase
Structure type: oligomer
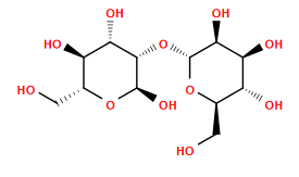
Location inside paper: fig. 6 (B)
Aglycon: (->3) LSer/LThr (protein)
Compound class: mannan
Contained glycoepitopes: IEDB_130701,IEDB_136104,IEDB_143632,IEDB_144983,IEDB_152206,IEDB_983930,SB_136,SB_196,SB_44,SB_67,SB_72
Methods: 1H NMR, DNA techniques, acid hydrolysis, HPLC, enzymatic digestion, extraction, methylation analysis
Enzymes that release or process the structure: Omh1p, α-galactosidase, α1,2-mannosidase
Comments, role: O-linked oligosaccharides were prepared from the 7GalTΔ cells. This oligosaccharide is product of α-galactosylation by Omh1p gene.
Related record ID(s): 43558, 43559, 43561, 43562, 43563, 43564, 43565, 43566
NCBI Taxonomy refs (TaxIDs): 4896Reference(s) to other database(s): GTC:G53402KW
Show glycosyltransferases
There is only one chemically distinct structure: