Taxonomic group: bacteria / Proteobacteria
(Phylum: Proteobacteria)
Associated disease: infection due to Escherichia coli [ICD11:
XN6P4 
]
NCBI PubMed ID: 3048659Publication DOI: 10.1016/0008-6215(88)85064-xJournal NLM ID: 0043535Publisher: Elsevier
Institutions: Max-Planck-Institut für Immunbiologie, Freiburg, Germany
(no abstract)
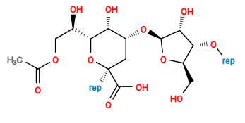
Structure type: polymer chemical repeating unit
Location inside paper: K19, Table 1
Compound class: K-antigen
Contained glycoepitopes: IEDB_149136
Methods: GLC-MS, hydrolysis, NMR 1D
Comments, role: 13C NMR chemical shifts were corrected to TMS by authors (dioxane at 67.4 was used for calibration); 13C NMR signals of non-O-acetylated Kdo were at 68.1 (C7) and 67.2 (C8).
NCBI Taxonomy refs (TaxIDs): 562Reference(s) to other database(s): GTC:G79296QY, GlycomeDB:
5671
Show glycosyltransferases
NMR conditions: in D2O / DSP / dioxane at 306(C) K
[as TSV]
13C NMR data:
Linkage Residue C1 C2 C3 C4 C5 C6 C7 C8
4 bDRibf 106.8 75.1 74.04 82.1 62.6
8 33%Ac
bXKdop 174.2 102.6 33.1 75.6 65.8 74.8 69.9 65.1
1H NMR data:
missing...
13C NMR data:
| Linkage | Residue | C1 | C2 | C3 | C4 | C5 | C6 | C7 | C8 |
| 4 | bDRibf | 106.8 | 75.1 | 74.04 | 82.1 | 62.6 | |
| 8 | 33%Ac | |
| | bXKdop | 174.2 | 102.6 | 33.1 | 75.6 | 65.8 | 74.8 | 69.9 | 65.1 |
|
There is only one chemically distinct structure: