Found 1 publication.
Displayed publication 1
Expand all publications
Collapse all publications
Show all as text (SweetDB notation)
Show all graphically (SNFG notation)
1. (Article ID: 1278)
Swierzko A, Shashkov AS, Senchenkova SN, Toukach FV, Ziolkowski A, Cedzynski M, Paramonov NA, Kaca W, Knirel YA
Structural and serological studies of the O-specific polysaccharide of the bacterium Proteus mirabilis O10 containing L-altruronic acid, a new component of O-antigens
FEBS Letters 398 (1996)
297-302
An acidic O-specific polysaccharide from the lipopolysaccharide of Proteus mirabilis O10 contains 2-acetamido-2-deoxy-D-glucose, 2-acetamido-2-deoxy-D-galactose, D-galacturonic acid, and L-altruronic acid, the last-named sugar having not been found hitherto in O-antigens. Structure of a branched tetrasaccharide repeating unit of the polysaccharide was established by 1H and 13C NMR spectroscopy, including two-dimensional COSY and rotating-frame NOE spectroscopy. The lateral L-altruronic acid residue plays the immunodominant role in manifestation of the O10 specificity of Proteus, whereas a disaccharide fragment of the main chain in common with the O-specific polysaccharide of P. mirabilis O43 provides the one-way serological cross-reactivity between anti-O10 serum and O43-antigen.
Lipopolysaccharide, NMR, LPS, structure, structural, polysaccharide, O-antigen, O antigen, acidic, acid, O antigens, O-antigens, bacteria, O-specific, O-specific polysaccharide, Proteus, Proteus mirabilis, serological, serogroup, bacterial polysaccharide structure, component, D-galacturonic acid, L-altruronic acid, lipopolysaccharide serological specificity
NCBI PubMed ID: 8977126Publication DOI: 10.1016/S0014-5793(96)01061-7Journal NLM ID: 0155157Publisher: Elsevier
Correspondence: knirel

ioc.ac.ru
Institutions: Centre of Microbiology and Virology, Polish Academy of Sciences, 93-232 Lodz, Poland, N.D. Zelinsky Institute of Organic Chemistry, Russian Academy of Sciences, Moscow, Russia
Methods: periodate oxidation, NMR-2D, NMR, carboxyl reduction, serological methods
The publication contains the following compound(s):
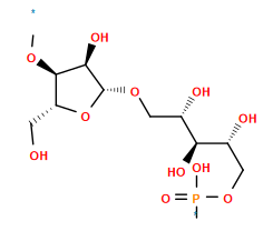
- Compound ID: 3294
|
a-L-AltpA-(1-3)-+
|
-4)-a-D-GalpNAc-(1-3)-a-D-GalpA-(1-3)-a-D-GlcpNAc-(1- |
Show graphically |
Structure type: polymer chemical repeating unit
Compound class: O-polysaccharide, O-antigen
Reference(s) to other database(s): GTC:G46280VG, GlycomeDB:
26367
Expand this publication
Collapse this publication
Total list of publication IDs on all result pages of the current query:
Total list of corresponding CSDB IDs (permanent record IDs):
Execution: <1 sec