Taxonomic group: fungi / Basidiomycota
(Phylum: Basidiomycota)
Organ / tissue: fruiting body
The structure was elucidated in this paperNCBI PubMed ID: 39128736Publication DOI: 10.1016/j.ijbiomac.2024.134628Journal NLM ID: 7909578Publisher: Butterworth-Heinemann
Correspondence: Li XJ <juniors_li

163.com>; Peng HP <php751129

sina.com>
Institutions: Institute of Translational Medicine, Medical College, Yangzhou University, Yangzhou, China, Jiangsu Key Laboratory of integrated traditional Chinese and Western Medicine for prevention and treatment of Senile Diseases, Yangzhou University, Yangzhou, China, Jiangzhong Pharmaceutical Co., Ltd., Nanchang, China, Kunshan Hospital of Traditional Chinese Medicine, Affiliated Hospital of Yangzhou University Department of Gastroenterology, Yangzhou, China
An innovative acidic hydrolysate fingerprinting workflow was proposed for the characterization of Lyophyllum Decastes polysaccharide (LDP) by ultra performance liquid chromatography-mass spectrometry (UPLC-MS). The crude polysaccharides were firstly separated and purified by using DE-52 column and the BRT GPC purification system, respectively. The molecular weight and monosaccharide content of homogeneous polysaccharides were ascertained by utilizing HPGPC and ion chromatography separately. Secondly, the linkage of LDP was identified by methylation analysis and 1D/2D NMR spectra. The UPLC-MS/MS was used to scan and identify the acidic hydrolysate products of LDP using the PGC column. The oligosaccharides were collected by chromatography and identified by mass spectrometry. Thirdly, the expression of IL-1β, IL-6, iNOS, TNF-α and IFNAR-I was measured in order to assess the immunological activity of LDP. Besides, the targeted receptors identification of polysaccharides was performed by screening the expression of TLRs family protein. The results showed that oligosaccharide fragments with different molecular weights can be obtained by partial hydrolysis, which further verified that the structures of LDP polysaccharides was a 1-6-linked β-glucan. Moreover, the LDP polysaccharide can up-regulate the content of IL-1β, IL-6, iNOS, TNF-α and IFNAR-I and plays an important immunoregulation role through TLRs family
NMR, β-glucan, immunoregulation
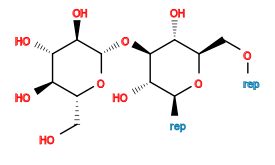
Structure type: structural motif or average structure ; 19800
Location inside paper: LDP2-1, Table 1
Compound class: glucan, polysaccharide
Contained glycoepitopes: IEDB_135614,IEDB_141806,IEDB_142488,IEDB_146664,IEDB_153543,IEDB_241101,IEDB_983931,SB_192
Methods: 13C NMR, 1H NMR, gel filtration, NMR-2D, GC-MS, acid hydrolysis, anion-exchange chromatography, enzymatic digestion, extraction, acetylation, methylation analysis, reduction, cell viability assay, HPGPC, precipitation, evaporation, centrifugation, phagocytosis assay, qRT-PCR, UPLC-ESI-MS/MS, NO production measurement
Biological activity: compound can up-regulate the content of IL-1β, IL-6, iNOS, TNF-α and IFNAR-I and plays an important immunoregulation role through TLRs family
Comments, role: NMR signals of terminal bDGlcp C4 and C5 were erroneous swapped in Table 1
NCBI Taxonomy refs (TaxIDs): 64660
Show glycosyltransferases
NMR conditions: in D2O at 298 K
[as TSV]
13C NMR data:
Linkage Residue C1 C2 C3 C4 C5 C6
3 %bDGlcp 104.13 74.76 74.35 69.61 77.31 62.04
bDGlcp 103.99 74.5 86.05 71.48 77.36 70.19
1H NMR data:
Linkage Residue H1 H2 H3 H4 H5 H6
3 %bDGlcp 4.66 3.30 3.42 3.66 3.46 3.62-3.81
bDGlcp 4.45 3.29 3.66 3.54 3.59 3.76-4.13
1H/13C HSQC data:
Linkage Residue C1/H1 C2/H2 C3/H3 C4/H4 C5/H5 C6/H6
3 %bDGlcp 104.13/4.66 74.76/3.30 74.35/3.42 69.61/3.66 77.31/3.46 62.04/3.62-3.81
bDGlcp 103.99/4.45 74.5/3.29 86.05/3.66 71.48/3.54 77.36/3.59 70.19/3.76-4.13
1H NMR data:
| Linkage | Residue | H1 | H2 | H3 | H4 | H5 | H6 |
| 3 | %bDGlcp | 4.66 | 3.30 | 3.42 | 3.66 | 3.46 | 3.62 3.81 |
| | bDGlcp | 4.45 | 3.29 | 3.66 | 3.54 | 3.59 | 3.76 4.13 |
|
13C NMR data:
| Linkage | Residue | C1 | C2 | C3 | C4 | C5 | C6 |
| 3 | %bDGlcp | 104.13 | 74.76 | 74.35 | 69.61 | 77.31 | 62.04 |
| | bDGlcp | 103.99 | 74.5 | 86.05 | 71.48 | 77.36 | 70.19 |
|
There is only one chemically distinct structure: