Taxonomic group: plant / Streptophyta 
(Phylum: Streptophyta)
Organ / tissue: seed 
The structure was elucidated in this paperPublication DOI: 10.1016/S0031-9422(98)00228-3Journal NLM ID: 0151434Publisher: Elsevier
Institutions: Departamento de Bioquimica e Departamento de Quimica da Universidade Federal do ParanĂ¡, Brazil
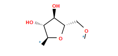
Schizolobium parahybae and S. amazonicum seeds yielded galactomannans with identical 3.0:1 Man:Gal ratios and with the same D-galactose distribution along the main chain. Although the galactomannan from seeds of Cassia fastuosa showed the same Man:Gal ratio, its line structure differed significantly from that of the two Schizolobium species as shown by the analysis of cligosaccharides (DP 2 to 6) obtained by partial acid hydrolysis. Seed coats of S. parahybae and S. amazonicum furnished similar unusual neutral linear alpha-L-arabinofuranan (1-->5) linked, as determined by methylation analysis, optical rotation and C-13 NMR spectroscopy. On the other hand, C. fastuosa seed coats furnished two acidic arabinans. These results in terms of using galactomannans and arabinans in chemotyping, support the suggestion of Rizzini that S. parahybae and S. amazonicum are not different species.
polysaccharides, Galactomannan, chemotyping, seed, Schizolobium parahybae, Schizolobium amazonicum, Cassia fastuosa, Caesalpiniaceae, arabinan
Structure type: homopolymer ; 18000
Location inside paper: p.737, column 2, paragraph 2
Compound class: arabinofuranan
Contained glycoepitopes: IEDB_136907 
Methods: 13C NMR, 1H NMR, methylation, gel filtration, GC, HPLC, GPC, extraction, acetylation, CC, TFA hydrolysis 
Related record ID(s): 60780
NCBI Taxonomy refs (TaxIDs): 46664Reference(s) to other database(s): GTC:G20937GX
Show glycosyltransferases
 
There is only one chemically distinct structure: