Taxonomic group: algae / Rhodophyta 
(Phylum: Rhodophyta)
Organ / tissue: cell wall 
Publication DOI: 10.1515/BOT.2000.048Journal NLM ID: 100955311Publisher: Berlin; New York [etc.]: Walter de Gruyter
Institutions: Laboratoire de Biologie Marine Fondamentale et Appliquée, Faculté des Sciences de Luminy, Marseille, France, Institut National de la Recherche Agronomique, Unité de Recherche sur les Polysaccharides, leurs Organisations et Interactions, Nantes, France
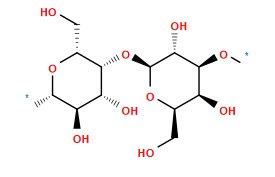
The chemical composition and the structure of gametic, carposporic and tetrasporic water-soluble polysaccharides from Asparagopsis armata Harvey (Rhodophyta, Bonnemaisoniaceae), as well as two gametic samples harvested both in the Mediterranean Sea and Atlantic Ocean, have been compared. The structural analysis of the polysaccharides has been examined by infra-red spectroscopy and by methylation of native and desulphated samples. The different constitutive sugars have been separated and quantified by gas-phase chromatography after reductive hydrolysis. The sulphated galactans lacking anhydrogalactose have both carrageenan and agar features such as high proportions of 1,3- and 1,4-linked galactose units, the presence of D- and L-galactose units, and negative or positive optical rotation values according to the stage considered. They are essentially sulphated on C-4 and ramified on C-3 and C-6. The carposporic polysaccharide differs primarily from the others by the presence of 15.9% dry wt uronic acids and a threefold lower sulphation level.
cell wall, galactans, Asparagopsis armata
Structure type: structural motif or average structure 
Location inside paper: p. 479, Fig. 2
Compound class: polysaccharide, galactan
Contained glycoepitopes: IEDB_136044,IEDB_137472,IEDB_141794,IEDB_190606,IEDB_221845,SB_165,SB_166,SB_187,SB_195,SB_7,SB_88 
Methods: methylation, IR, GC-MS, acid hydrolysis, GC, viscosity measurement, colorimetry, extraction, optical rotation measurement, acetylation, reduction, enzymatic assay, precipitation, m-hydroxydiphenyl colorimetric method, centrifugation, Lowry method, desulphation, turbidimetry 
NCBI Taxonomy refs (TaxIDs): 31367
Show glycosyltransferases
 
There is only one chemically distinct structure: